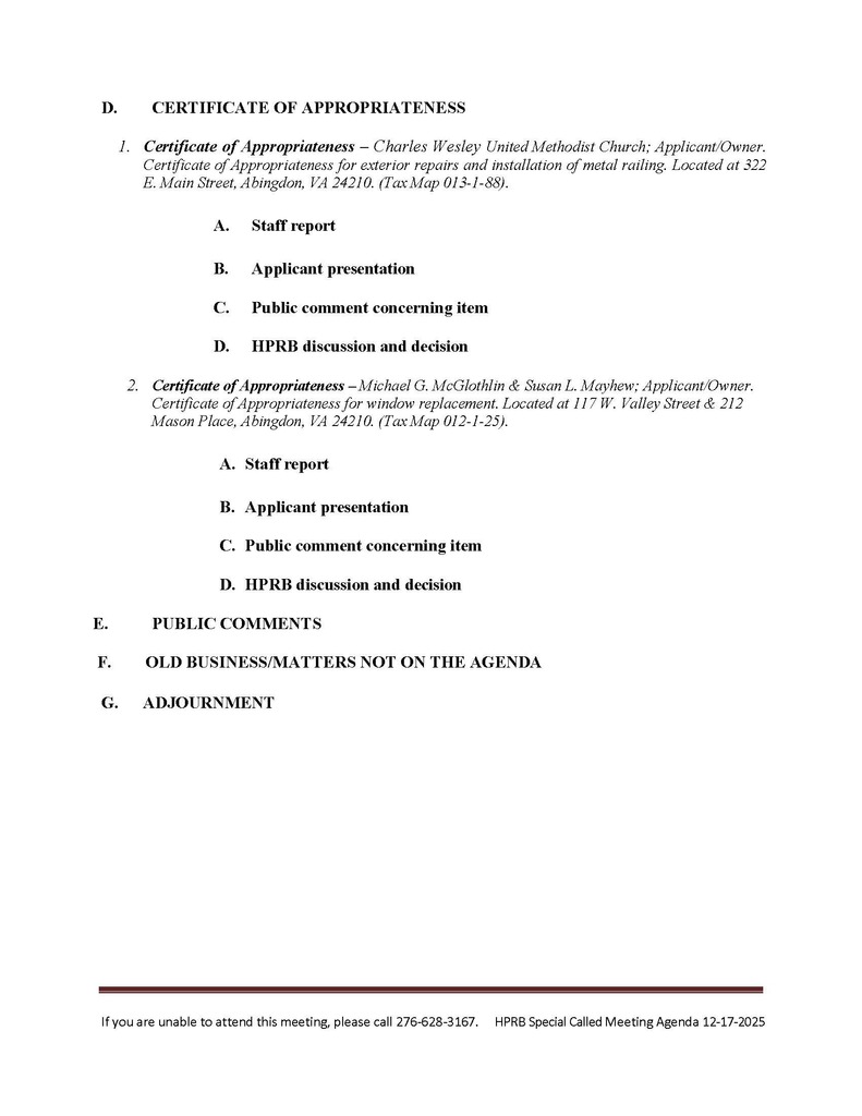
Below is the Notice of Meeting and Agenda for the Historic Preservation Review Board special called meeting on December 17, 2025:



Below is the Notice of Meeting and Agenda for the Planning Commission meeting on Monday, December 15, 2025:



Below is the Notice of Meeting for the Abingdon Arts Commission:

Below is the Notice of Meeting for the Tourism Advisory Committee meeting dates in 2026:

Below is the Cancellation Notice for the December 18, 2025, Town Council Meeting:

On Monday, December 8, 2025, Pecan Street (between Main Street and Park Street) will be closed from approximately 8:00am to 11:00am for tree removal. Please use an alternate route during this time.

Below is Notice of Three or More for Abingdon Town Council for two events in January 2026:

Below is the Notice of Meetings for Abingdon Town Council, for the first half of 2026:

At the Monday, December 1, 2025, Town Council meeting, Abingdon Town Council issued a proclamation honoring First Sergeant Michael Willis of the Virginia State Police.
First Sergeant Willis was recognized and honored for his outstanding service, leadership, and commitment to the Town of Abingdon and the surrounding communities, as well as his mentorship, and support to the Abingdon Police Department. First Sergeant Willis will retire in January, after 28 years of service.
First Sergeant Willis, we wish you all the best in your retirement!
First Sergeant Willis was recognized and honored for his outstanding service, leadership, and commitment to the Town of Abingdon and the surrounding communities, as well as his mentorship, and support to the Abingdon Police Department. First Sergeant Willis will retire in January, after 28 years of service.
First Sergeant Willis, we wish you all the best in your retirement!



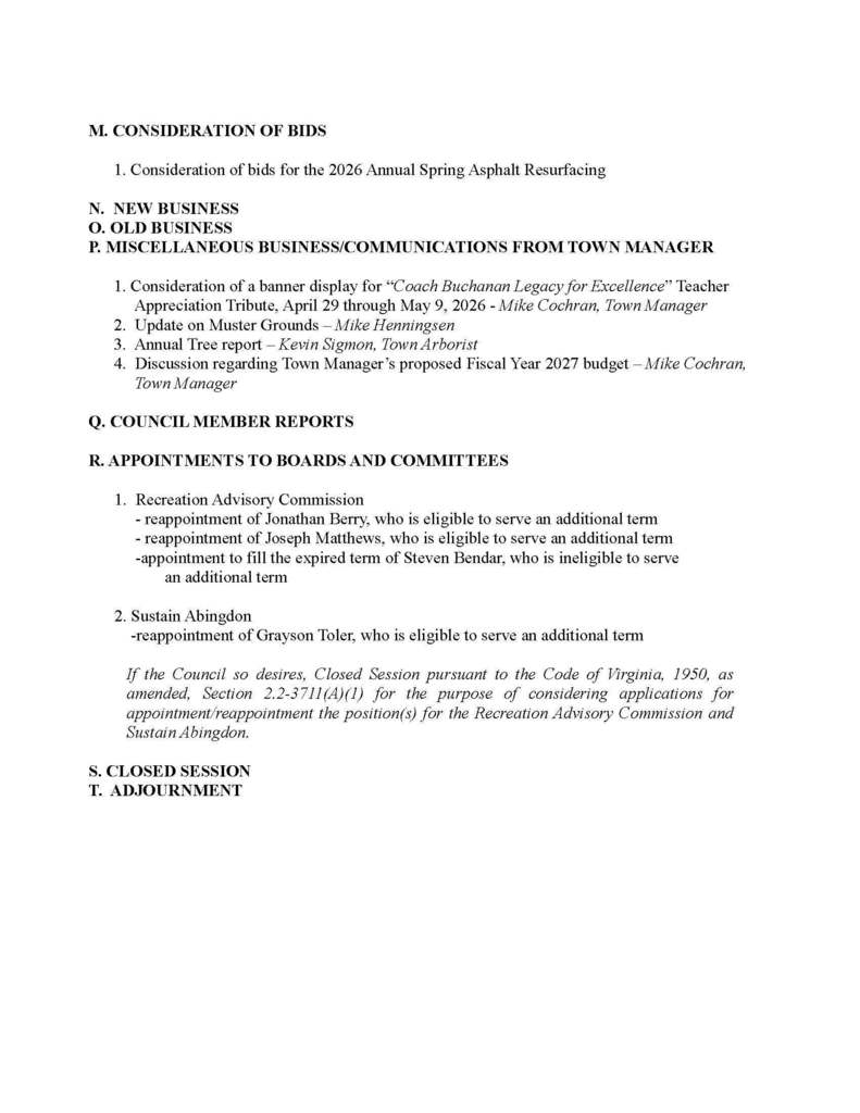
Below is the Draft Agenda for the Monday, December 1, 2025, Town Council meeting:



The turkey’s gone, and now it’s time for tinsel! 🎄🎅
As we continue through the holiday season, please note the schedule changes for Town Administrative Offices.
Wishing you peace, joy, and plenty of holiday magic all season long! ✨🎁
As we continue through the holiday season, please note the schedule changes for Town Administrative Offices.
Wishing you peace, joy, and plenty of holiday magic all season long! ✨🎁

Below is the Notice of Meeting and Agenda for the Tuesday, December 9, 2025, Historic Preservation Review Board workshop:




On Monday, December 1, 2025, Tanner Street, between Main Street and Valley Street, will be closed from approximately 9:00am - 5:00pm as an ATMOS Gas Line is installed. Travel on Plumb Alley will also be affected in the area. Please use caution in the area and follow any posted signage or flaggers.

Did Thanksgiving leave your house full of leftovers… and old furniture you’ve been meaning to get rid of? Good news! Our Bulk Trash Pickup is next Tuesday, December 2, 2025!. Perfect timing to clear space and get ready for Christmas cheer!

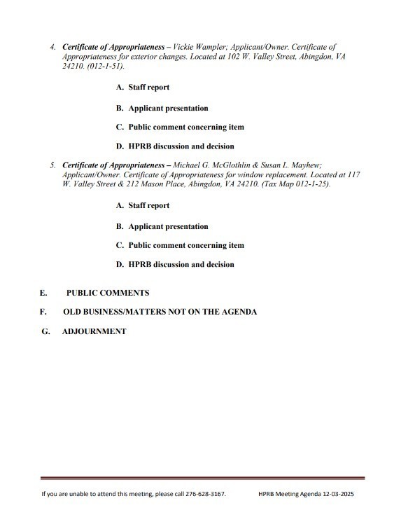
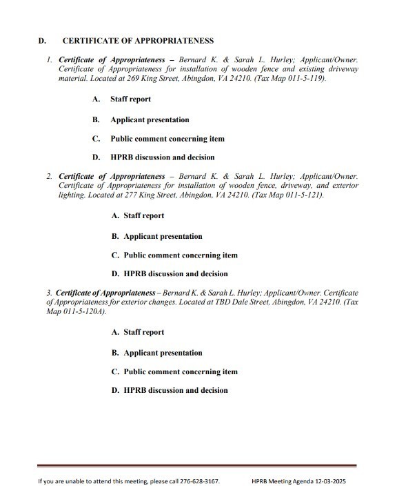
Below is the Notice of Meeting and Agenda for the Wednesday, December 3, 2025, Historic Preservation Review Board Meeting:




Below is Notice of Three or More for Abingdon Town Council with an updated date:

🎄🚗✨ Get ready, Abingdon—it’s almost parade time!
Our Annual Christmas Parade rolls through town on December 6th, and you can join the fun on the streets or from your screen! 💻
The live-stream pre-show starts at 5:15 PM, featuring special guests including Mayor Dwyane Anderson, amazing Town of Abingdon staff, and a few other holiday VIPs! 🎤🎅
💚 But the REAL mystery every year…
How many Grinches will we spot this time?
Drop your guesses and watch live to see if you're right! 👀✨
Our Annual Christmas Parade rolls through town on December 6th, and you can join the fun on the streets or from your screen! 💻
The live-stream pre-show starts at 5:15 PM, featuring special guests including Mayor Dwyane Anderson, amazing Town of Abingdon staff, and a few other holiday VIPs! 🎤🎅
💚 But the REAL mystery every year…
How many Grinches will we spot this time?
Drop your guesses and watch live to see if you're right! 👀✨

Town Administrative Offices will close at noon today, November 26, 2026, and remain closed through Friday, November 28, 2025. We will resume regular business hours on Monday, December 1, 2025.
We wish everyone a safe and happy Thanksgiving!
We wish everyone a safe and happy Thanksgiving!

🎉 The wait is over! The brand-new playground at the Coomes Center is officially open! 🛝✨
A huge thank you to our incredible sponsors and volunteers for making this possible. We also want to give a special shoutout to our Public Works and Recreation Departments—your long days, weekends, and countless contributions truly brought this playground to life.
Come out, play, and make some memories! 🏃♂️🌳💛
A huge thank you to our incredible sponsors and volunteers for making this possible. We also want to give a special shoutout to our Public Works and Recreation Departments—your long days, weekends, and countless contributions truly brought this playground to life.
Come out, play, and make some memories! 🏃♂️🌳💛


Below is the Agenda for the Tuesday, December 2, 2025, Tourism Advisory Committee meeting:

